Barclay Pearce Capital
- Apr 7, 2025
- 6 min read
Don't look for a silver lining yet but look to where it might appear - Market Map from James Whelan
New month, fresh takes but the same Free Whelan. Thank you for your continued support and keep unlocking valuable insights into the global market with me!

What can I say? The glorious market that rallied under Trump 2.0 has been collapsed by the very same person.
What a schedule for the weekend too. Randomly make up reciprocal tariff numbers, start a trade war, crash the stock market and go play golf.
Of relevance is the recording I made last week with the MD of SQM Research, Louis Christopher, talking about their Watch Status they’ve placed on private credit. What to look for, what to beware of, if there’s any consolidation coming in the space and more. It’s quite good and tells you what you need to know about a space we’re keen on.
Link here.
https://shows.acast.com/5ed1b0e5769354130c73bb32/67ef2b645c3549600390527f
Now onwards!
We’ve all seen the big novelty posters with the reciprocal tariff numbers. Many ask why some countries are listed as they are, with no islands only containing penguins etc. The facts are that the White House absolutely used ChatGPT to create the lists.

Source: vfxgordon - Threads
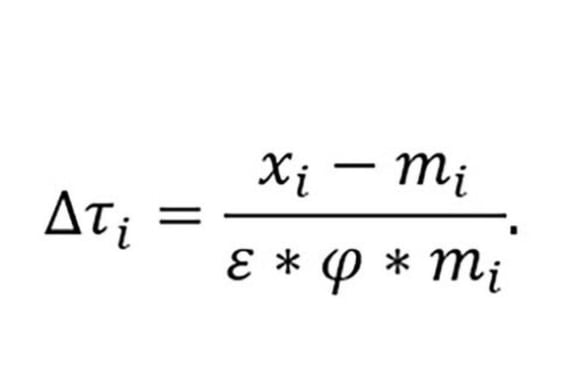
And then with that list, they created the maths for where the reciprocal tariffs came from. Again, made up numbers. It’s not actually the tariff numbers already placed on the US by the other country, it’s something much, much dumber. They took the goods trade surplus of the country vs the US and divided it by its exports to the US.
Then halved it and that’s the reciprocal tariff.
But to make the formula seem smarter they threw in some random Greek epsilon and phi in the denominator and made them equal 4 and .25, hence meaning they multiply to 1 and are effectively redundant.
Source: Business Post - X
So here are the facts on this insane overblown measure. Aside from being based on the wrong things (for example there’s an island of 5000 people that now has 50% tariffs on them because one person bought $3.4m worth of shellfish in July 2024 and the country only bought $100k worth of goods from the US)
They also simply won't work. Two examples of things that physically cannot be done wholly by the US and if the tariffs are pushed through will simply cost too much money to be profitable.
(An image of 787 Dreamliner structure suppliers - Selected component and system suppliers)
Source: Boeing, Reuters
And the iPhone, which is now universally a measure for how much things cost since everyone has one or knows of them and it’s more than the cost of coffee (the old measure).
If you break it down to a sum of the parts you get insanity again.
The total of these things means that you’re taking the cost to make an iPhone from $549 to $846 and that’s simply not tenable.
(An image of the Bill for an iPhone 16 Pro)
Source: Techinsights, iFixit
And the reason it’s caught so many on the back foot is because any plans your top analysts had made and you’d prepped for have become redundant because the team creating the figures is not only not playing your game of chess because they’re drunk at the bowling alley playing table hockey.
Source: Financial Times
Just the dumbest time to be alive.
Ok, so what about equity markets?
Is now a good time we just finished one of the best 15-year periods since 1970? (h/t Callum Thomas)
Because it’s been good to us. Now we’re paying the price.

Source: Investing.com
And you’ll see a lot of charts with “lowest since..” this and “VIX is highest since…” that. They’re all good. There’s no point in me posting them here because, by the time you read them, they’re already long gone. As of right now US traders have been called in early, expecting limit down and margins have been jacked up to the maximum. Forced position closures and correlation go to 1. We already saw Gold get his last week when it really should have been bought. That’s a sign that margin calls are hitting and profitable positions are being closed to pay the toll.
It’s another sign of the way to capitulation.
Zoom out and you’ll see your monthly S&P500 chart going back to the 30s and there’s a thick black line at a level you don’t even want to know about.

Source: TradingView
So, some positives.
These tariffs are a tap, not a virus or a global banking crisis. Literally a pen stroke with each country or all at once and it’s all over. With some hurt, obviously but planes and phones go back to the costs they should be and the world keeps spinning.
Locally there are positives out there. Ignoring the calamity of a global recession there’s the fact that we trade a lot of things with China, who are really looking good right now.
If China starts to falter in a global downturn the prospect of local stimulus comes very much to the fore, so our special gift of digging things out of the ground and selling them to China once still has value. A lower AUD also helps our miners.
Our agricultural exports are competitive. We have the base 10% tariffs so other countries with a higher rate don’t look so good. You beauty.
Aside from that in a long enough time frame the best time to buy is around these times. Don’t rush it but when the VIX does go above 45 it’s almost always the best time to load up.
Also, this is why we recommend a balanced portfolio with a healthy allocation to bonds. Yields have dropped and the bond market has rallied. Your portfolio is not the index.
If there are any questions please feel free to reach out and I’ll do my best to help.
All the best,
James
Introducing BPC Wealth Management
BPC Wealth Management is dedicated to shaping a resilient investment portfolio, empowering you to achieve and sustain your financial aspirations. While the foundation of your portfolio focuses on long-term investments, through BPC, clients will be offered opportunities in equities trading and equity capital markets. This aspect is highly customised, allowing asset flexibility. Discover how our proactive and client-focused approach can help you achieve your financial aspirations by booking your discovery call with James Whelan.
Share Link
